
Otomotivde 2025 karnesi: Kazananlar kaybedenler
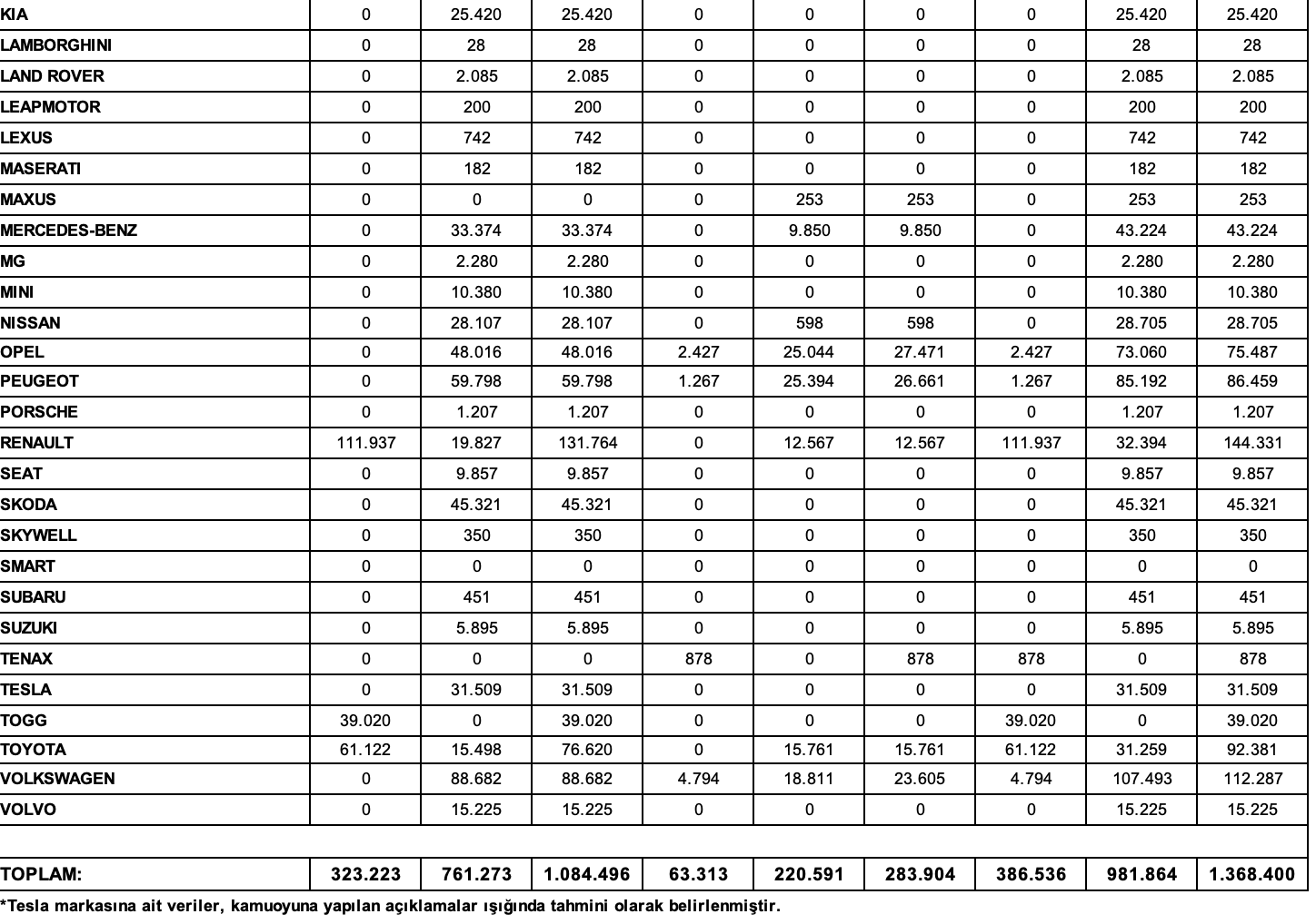
Türkiye otomotiv pazarı 191 binden fazlası elektrikli otomobil, 283 binden fazlası hafif ticari araç ve 1 milyon 84 bini binek otomobil olmak üzere toplamda 1 milyon 363 bin 400 adetlik satış ile kapandı. Bu genel görünüm içinde markaların konumlanması nasıl oldu:
- Renault, 2025 yılında ulaştığı satış adedi ve %10,5’lik pay ile önemli bir büyüme elde ederek hem toplam pazarda hem de otomobil pazarında liderlik koltuğuna oturdu.
- Renault Clio 51.717 adet ile 2025 yılında en çok satan otomobil olurken;
- Renault Megane Sedan ise hemen arkasından 48.099 adet ile ikinci sırada konumlandı.
- Dacia Sandero Stepway ise B-SUV segmentinde 23.699 adet ile en çok satan model olarak rakiplerini geride bıraktı.


2025’de Türkiye’de en çok satan 10 otomobil
Marka Model Aralık satışı 2025 satışı
- Renault Clio 9152 51717
- Renault Megane Sedan 6120 48099
- Togg T10 F 5345 11437
- Toyota Corolla 4984 35907
- Fiat Egea Sedan 4925 42838
- Renault Duster 4704 17635
- VW Taigo 3913 21367
- Dacia Sandero Stepway 3520 23699
- Toyota C_HR 3034 25215
- Citroen C4X 2959 23.057